Neural networks are often described as black boxes, reflecting the significant challenge of understanding their internal workings and interactions. We propose a different perspective that challenges the prevailing view. Rather than being inscrutable, neural networks exhibit patterns in their raw population activity that mirror regularities in the training data. We refer to this as the Reflection Hypothesis and provide evidence for this phenomenon in both simple recurrent neural networks (RNNs) and complex large language models (LLMs). Building on this insight, we propose to leverage cognitively-inspired methods of chunking to segment high-dimensional neural population dynamics into interpretable units that reflect underlying concepts. We propose three methods to extract these emerging entities, complementing each other based on label availability and neural data dimensionality. Discrete sequence chunking (DSC) creates a dictionary of entities in a lower-dimensional neural space; population averaging (PA) extracts recurring entities that correspond to known labels; and unsupervised chunk discovery (UCD) can be used when labels are absent. We demonstrate the effectiveness of these methods in extracting entities across varying model sizes, ranging from inducing compositionality in RNNs to uncovering recurring neural population states in large language models with diverse architectures, and illustrate their advantage to other interpretability methods. Throughout, we observe a robust correspondence between the extracted entities and concrete or abstract concepts in the sequence. Artificially inducing the extracted entities in neural populations effectively alters the network's generation of associated concepts. Our work points to a new direction for interpretability, one that harnesses both cognitive principles and the structure of naturalistic data to reveal the hidden computations of complex learning systems, gradually transforming them from black boxes into systems we can begin to understand.
TL;DR. We argue that neural networks aren’t opaque by nature. Their internal population activity reflects regularities in the data. If we segment those dynamics into chunks—interpretable, recurring patterns — we can map them onto concrete or abstract concepts, and steer a model's behavior by activating the right chunk at the right time.
Let's unpack the core pieces of this idea:
Naturalistic data contains compositional structure at multiple levels.
Humans and animals exhibit behaviors that reflect—and exploit—the compositional structure in the data.
We posit that raw population activity in neural networks mirrors the statistical regularities of the data they learn to predict.
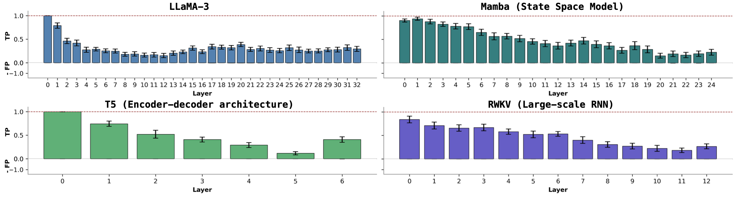
**We check this hypothesis in Simple recurrent networks (RNNs) and Large language models (LLMs).
Across both, we find recurring internal states that align with meaningful concepts—sometimes concrete (e.g., tokens, phrases, entities), sometimes abstract (e.g., grammatical roles, task modes).
Humans handle the complexity of perceptual data by chunking—grouping elements that co-occur into higher-level units (words, phrases, visual entities). We propose applying the same strategy to neural activity: segment high-dimensional population activity into interpretable chunks that act like concepts.
Think of a chunk as:

Neural networks are often labeled black boxes because billions of unit interactions feel inscrutable—but if you inspect population activity (the joint activity of many units over time), structure emerges: recurring patterns that mirror regularities in the training data. Treat this space as concept-like chunks, and you can read out what the model knows, compose those pieces to explain behavior, and even steer computation. In short, don’t assume inscrutability—look for reflections of the data inside the network, and the “black box” starts to look like a system we can understand.
For many more details, experiment, and analysis, please check out our paper to be published in NeurIPS 2025! It is available at https://arxiv.org/pdf/2505.11576. If you are attending, we are always excited to discuss and answer questions. Our code is available on GitHub as well, at https://github.com/swu32/Chunk-Interpretability.